
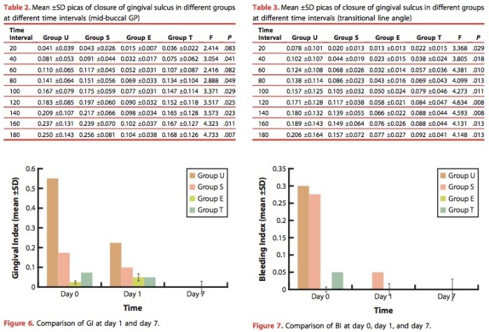
這篇文章使用四種不同的排齦材料, 兩種是cord (Ultrapack, SilTrax AS), 兩種是paste (Expasyl, Traxodent Hemodent paste). 在40個受試者中, 將受試者固定好並在每一步驟拍照去計算拍銀的效果以及時間, 還有術後七天的反應. 結果效果都差不多, 即使是對牙齦較不友善的排齦線加epinephrine都會在七天後復原.






這篇文章使用四種不同的排齦材料, 兩種是cord (Ultrapack, SilTrax AS), 兩種是paste (Expasyl, Traxodent Hemodent paste). 在40個受試者中, 將受試者固定好並在每一步驟拍照去計算拍銀的效果以及時間, 還有術後七天的反應. 結果效果都差不多, 即使是對牙齦較不友善的排齦線加epinephrine都會在七天後復原.




