Journal of Oral Rehabilitation 2015 Vol.42 P.386-399
我們都知道遺傳的力量, 那TMD會不會遺傳?這篇review article選出21篇研究, 然後去找尋基因和TMD的關聯性.
因為我對於這方面的研究並不了解, 所以我直接寫出作者的結論是:在遺傳方面對於TMD有影響的證據正在累積. 但是這不單純是TMD, 而是某些人的基因遺傳造成他們對於痛覺比較敏感, 所以更容易會覺得有TMD.
所以容易覺得會痛可能是遺傳來的…
Journal of Oral Rehabilitation 2015 Vol.42 P.386-399
我們都知道遺傳的力量, 那TMD會不會遺傳?這篇review article選出21篇研究, 然後去找尋基因和TMD的關聯性.
所以容易覺得會痛可能是遺傳來的…
Journal of Oral Rehabilitation 2015 Vol.42 P.460-466
這個研究室使用數位的x-rays, 去調出五個不同世代的患者資料:10,25,40,55,70 (+-3). 然後去計算上下顎正中門齒的長度.
結果70歲的那一組跟10歲的那一組, 平均來說上顎正中門齒短了1.01mm, 下顎正中門齒短了1.46mm. 在治療上可供參考.
Journal of Oral Rehabilitation 2015 Vol.42 P.439-446
對於有TMD的患者, 最常使用的治療方式就是使用藥物以及咬合板. 這個RCT的研究雖然只有追蹤一年, 但是我們也要想想有多少的患者有真的戴一年的咬合板?
80位有TMD相關疼痛的患者被隨機分成有戴咬合板(n=39)及沒有帶咬合板(n=41)的兩組. 戴咬合板的那組是使用heat-processed acrylic splint, 只有在睡覺時候使用.兩組患者都有接受咬合肌的放鬆訓練(Carlsson&Magnusson), 大致上就是讓患者將下顎慢慢伸展移動…
對於治療的指標是使用VAS評分, 也就是自己評分疼痛的程度. 我覺得有趣的是在觀察期間, 有一部份不帶咬合板的患者變成有戴咬合板.

就結果來說有沒有帶咬合板都是有改善的, 但是沒有統計上的差異. 所以理論上沒有差別但是心理的層面有沒有差別呢?這真的要小心地去診斷及追蹤.Journal of Oral Rehabilitation 2015 Vol.42 P.348-354
這篇文章是我在印第安納唸書時同期的矯正科同學發表的(這就是強者我同學的意思吧)他的題目很有趣, 是在探討不同的唾液在不同材質的假牙上以不同的咬合形式有什麼樣的差別. 我覺得有趣的部分是這為什麼是矯正科的題目呢?雖說我的研究也跟假牙沒啥相關就是.
在三種不同的假牙(Densply IPN denture teeth, IPS Empress CAD, 3M ESPE SSC)以及四種不同的唾液(Human, Moi-Stir, Mouth Kote, Oasis)在Class I, II, III 和Class I crossbite去測試.



結論就是不管如何的改變變因, 只要有加入唾液會改變咬合力的方向, 所以變得很複雜沒有辦法統整出一套規則. 所以除了基本的咬合規則之外, 還要煩惱唾液給我們的改變量…真的是研究不完啊…Journal of Oral Rehabilitation 2015 Vol.42 P.467-480
這篇回顧性文章是從4253篇關於zirconia fixed prosthesis文章中選出27篇. 其中23篇是teeth supported, 4篇是在講implant supported. 當然結果來說survival rate是很高但是還是有不少veneer material fracture的問題.
總結來說, 五年的成功率很高, 尤其是使用resin cement時候. 但是因為沒有整體性的研究所以這只能參考.
Journal of Prosthodontics 2015 Vol.24 P.100-108
這篇文章是去搜尋關於self-adhesive resin cement, 然後根據這個團隊的標準篩選出15篇vivo和6篇vitro的文獻.
就結果來說, Rely X Unicem是比較有被研究支持的self-adhesive resin cement, 但是文章數不夠多所以很難以去比較. 這類型的resin cement的確比total etching 更能避免pulp的傷害.
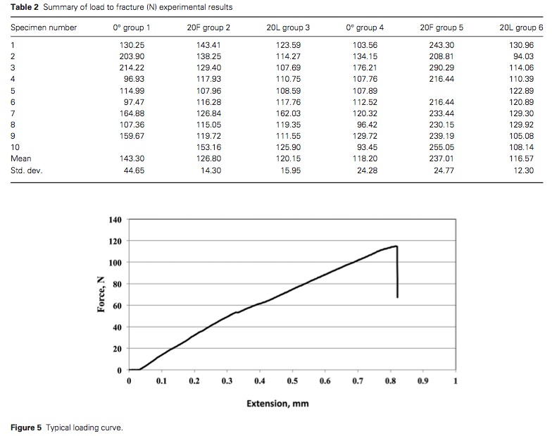
Journal of Prosthodontics 2015 Vol.24 P.127-135
這個實驗室將zirconia implant abutment分成三種組別 : 20F, 0, 20L. 其中也有一個類別有去做消毒及熱循環以模擬實際口內狀況. 在現實狀況中20L應該是最常見的, 可惜也是比較沒有辦法受力的.






我是覺得zirconia abutment儘量不要用純的zirconia, 而是基底仍是titanium而上面蓋上zirconia. 因為接頭真的容易斷, 尤其是前牙L20的設計的側方力道很大.
Journal of Prosthodontics 2015 Vol.24 P.52-56
通常在實際上很難看到應力在植體上的作用, 所以你會看到很多在巴西的研究使用電腦去運算到底植體設計上會不會讓力量過度停留在某些地方, 進而讓骨頭吸收.
在這個電腦模擬的實驗中, 使用5x7mm external hexagon cylindrical implant和5x6mm Morse taper conical implants, 然後分別接上metal-ceramic crown讓Crown/Root ratio分別成為1:1和2:1. 接著分別用垂直的力道和30度傾斜的力道去施力.
在垂直施力時, 無論C/I ratio及implant種類, 力量是集中在crestal region. 在30度角施力方面, 2:1 C/I ratio所造成的力道就明顯較大, Morse taper比較能將力道傳到implant根尖處.
Journal of Prosthodontics 2015 Vol.24 P.168-171
這篇文章是在講解一個下顎植牙固定式假牙因為其中的植體失敗了, 但是不想重新製作假牙的部分. 以下看圖說故事.
這位65歲的女性患者,身體狀況良好, 在下顎製作了以五顆植體支撐的全口固定式假牙但在immediate loading後三個月就失去了其中兩顆. 但是因為這三個月來這副假牙的OVD和咬合都很好, 所以不想重做.
首先先將失敗的兩顆植體旋出, 重種大一號的植體, 然後接上impression coping後用Pattern resin固定在一起.
原本的假牙先和上顎固定在一起, 將失敗的那兩個位置接上analog後用蠟封起來, 然後做silicone putty index, 再用stone mounting好.

接下來將原本用蠟封的兩隻analog拿掉, 利用impression coping重新對位. 然後我覺得很厲害的是他們可以再沒有破壞樹脂牙的情況下將metal framework拿出來soldering.
最後用acrylic resin接合. 追蹤三年後都ok.
Journal of Prosthodontics 2015 Vol.24 P.57-63
在臨時牙橋上可以使用fiber去增加強度. 這個實驗是在探討如果3 unit bridge不要車成full coverage, 而是車box-shape 或是tub-shape, 再加上fiber的強度是否可行.